Katalüsaatori tööiga on katalüsaatori jõudluse hindamise põhinäitaja. Praegu ei ole kaubanduslikult kättesaadavaid meetodeid osoonkatalüsaatorite eluea hindamiseks. Ainus kasutatud meetod on tegelik reoveepuhastus osoonikatalüsaatorite eluea määramiseks. See hõlmab katalüsaatori pidevat pikaajalist töötamist-tegelikes töötingimustes ning eluiga määratakse reoveepuhastusefekti ja katalüsaatori muutuste põhjal. See testimismeetod on{5}aeganõudev ja ebatõhus. Seetõttu on vaja tugevdada katalüsaatorite eluea hindamise uuringuid ja välja sõeluda stabiilsed, tõhusad ja pikaealised{7}katalüsaatorid, mis on katalüsaatorite laiaulatuslikuks{8}}kasutamiseks ülioluline.
OSA.01
Katalüsaatori eluea hindamise meetodid
Olemasolevate tehnoloogiate{0}}ajamahukuse ületamiseks pakub Jieyao Technology allikatootjana katalüsaatori eluea hindamismeetodit. See meetod lühendab oluliselt osoonikatalüsaatori eluea hindamistsüklit ja vähendab tõhusalt hindamisprotsessi kulusid; see parandab tõhusalt ka osoonikatalüsaatori eluea hindamise täpsust. Sellel on lühike hindamisaeg, laialdane rakendatavus katalüsaatoritele ja suur täpsus.
Hindamismeetodi ülevaade:
Osoonkatalüsaatorile tehakse vähemalt üks gaasi{0}}vedeliku tagasipesu;
Iga gaas-vedelik tagasipesu sisaldab järgmisi samme: järjestikune gaasipesu, kombineeritud gaasi-vedelikuga pesemine ja osoonikatalüsaatori vedelpesu;
Gaasi-vedela tagasipesu arv on i ja osoonkatalüsaatori kasutusiga on negatiivses korrelatsioonis survetugevuse või osakeste suuruse järgimisega pärast i-ndat gaasi-vedelikku tagasipesu.
OSA.02
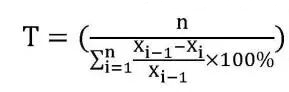
Hindamismeetodi arvutamise valem
1. Osoonkatalüsaatori kasutusea arvutamise meetod:

kus: T on osoonkatalüsaatori kasutusiga; Xi on survetugevus või osakeste suuruse järgimine pärast i-ndat gaasi-vedeliku tagasipesu ja i on täisarv vahemikus 1 kuni n;
Kui Xi on survetugevus, arvutatud T-väärtust võrreldakse T-väärtusega, mis on arvutatud, kui Xw on osakeste suuruse järgimine, ja osoonikatalüsaatori kasutuseaks võetakse väiksem väärtus.
Valemis viitab Xi-1 osoonikatalüsaatori survetugevusele või osakeste suurusele vastavusele pärast (i-1)-ndat gaasi-vedeliku tagasipesu. Kui i=1, siis Xi-1 viitab osoonikatalüsaatori survetugevusele või osakeste suurusele ilma gaasi-vedeliku tagasipesuta.
Survetugevus (N/osake) viitab katalüsaatorosakeste võimele seista vastu välisele rõhule ilma purunemata või deformeerumiseta. Survetugevust mõõdetakse osakeste tugevuse testeri abil.
Osakeste suuruse vastavus (%) viitab katalüsaatorosakeste protsendile vastuvõetava osakese suuruse vahemikus. Katsemeetodiks on sõelumine.
OSA.03
Meetodi rakendamise tee
1. Katalüsaatori eluea hindamine: kasutatakse individuaalse gaasipesu, gaasi-vee tagasipesu ja individuaalse veega pesemise kombinatsiooni. Konkreetsed sammud on järgmised.
S1. Gaas juhitakse läbi tagasivoolu sisselaskeava, et teostada osoonikatalüsaatori gaasipesu alt üles. Pestud gaas juhitakse välja tagasipesu väljalaskeavast.
S2. Tagasipesuvedelik juhitakse läbi tagasipesuvee sisselaskeava ja kombineeritakse surugaasiga, et teostada osoonikatalüsaatori gaas{1}}vedeliku tagasipesu alt üles. Tagasipesu vedelik lastakse välja tagasipesu tühjendusavast.
S3. Gaasivarustus peatatakse ja osoonikatalüsaatorit pestakse tagasipesuvedelikuga alt üles. Tagasipesu vedelik lastakse välja tagasipesu tühjendusavast.
2. Rakendustingimused:
1. Gaasipesu tingimused: Gaasipesu intensiivsus võib olla 12-28 L/(s·m²); gaasipesu aeg on 4-10 h; gaasipesu temperatuur on 20-30 kraadi .
2. Nõuded gaasilise -vedeliku kombineeritud puhastus- ja vedelpuhastuse sisselaskeavale: suspendeeritud tahked ained (SS) kuni 10 mg/L, kõvadus kuni 300 mg/L, KHT (keemiline hapnikutarve) Vähem või võrdne 20 mg/L, soolasisaldus kuni 9 kuni 6, väärtus 10,0 või 0 mg/L.
Gaasiga -vedela kombineeritud puhastuse tingimused on järgmised: gaasipuhastuse intensiivsus 10-20 L/(s·m²), vedeliku puhastamise intensiivsus 2-8 L/(s·m²), kombineeritud gaasi-vedeliku tagasipesuaeg 2–5 tundi ja kombineeritud gaasipesutemperatuur 20-30 kraadi.
3. Vedelpuhastuse tingimused: vedelpuhastuse intensiivsus 4-12 L/(s·m²), vedelpuhastusaeg 5-10 h ja vedelpuhastustemperatuur 20-30 kraadi.
OSA.04
Hindamisjäreldus Erinevate osoonkatalüsaatorite kasutusiga on erinevad. Käesolevas leiutises kirjeldatud osoonkatalüsaatori minimaalne kasutusea nõue peaks vastama järgmistele tingimustele: kui survetugevus on väiksem kui (10±3) N/osakeste kohta või osakeste suuruse vastavus on väiksem kui (30±3)%, on täidetud kumbki tingimus, mis näitab, et osoonkatalüsaatori kasutusiga on saavutatud.
Näiteks: alumiinium{0}}põhiste sfääriliste osoonkatalüsaatorite puhul, kui survetugevus on väiksem kui (50±3) N/osakeste kohta või osakeste suuruse järgimine on väiksem kui (45±3)%, on kumbki tingimus täidetud, mis näitab, et osoonkatalüsaatori kasutusiga on lõppenud.
Süsinik{0}}põhiste sammasosoonkatalüsaatorite puhul, kui survetugevus on väiksem kui (10±3) N/osake või osakeste suuruse järgimine on väiksem kui (50±3)%, on kumbki tingimus täidetud, mis näitab, et osoonkatalüsaatori kasutusiga on lõppenud.
Keraamiliste sfääriliste osoonkatalüsaatorite puhul, kui survetugevus on väiksem kui (75±3) N/osake või osakeste suuruse vastavus on väiksem kui (40±3)%, on kumbki tingimus täidetud, mis näitab, et osoonkatalüsaatori kasutusiga on lõppenud. Seda osoonikatalüsaatorite eluea hindamismeetodit saab kasutada osoonikatalüsaatorite hindamiseks, mis puhastavad reovett paljudes tingimustes, näiteks heljumiga reovesi 50 mg/l või sellega võrdne, kõvadus 300 mg/l või vähem, soolasisaldus 5000 või 0 mg/l hapnikutarve mg/l ja pH 6-9.
OSA.05
Hindamismeetodi kokkuvõte: hindamismeetodiga hinnatakse osoonikatalüsaatorite eluiga mitte-äärmuslikes keskkondades. Lisaks on optimaalsetes tingimustes töötavate osoonkatalüsaatorite eluiga lähemal nende tegelikule elueale.
Katalüsaatori eluea hindamise meetodi täpsuse parandamiseks võib hindamisprotsessis kasutatav reovesi olla vastavuses reovee koostisega tegelikul kasutamisel.
Gaaspuhastuse, kombineeritud gaasi-vedelikpuhastuse ja vedelpuhastuse pesemise intensiivsuse ja aja juhtimisega simuleeritakse katalüsaatori kulumist tegeliku kasutamise ajal. Aasta katalüsaatorikulu saab simuleerida suhteliselt lühikese ajaga, mis vähendab oluliselt katalüsaatori eluea hindamiseks kuluvat aega. Tootmiseks vajaliku katalüsaatori saab valida kiiresti ning katalüsaatori eluea tulemuste täpsus on tänu iga pesutingimuse täpsele juhtimisele kõrge.
